不只是NaH,DMSO在8种情况下存在爆炸风险!
二甲基亚砜(DMSO)是化学工业和学术研究中广泛使用的偶极非质子溶剂,因为它具有可溶解有机和无机化合物的理想物理性质,又被称为”万能溶剂“。DMSO毒性低,在人体中,DMSO通过氧化为二甲基砜或还原为二甲基硫醚而代谢,这些二甲基硫醚会在尿液和粪便中排出。由于DMSO对人体的毒性低,因此在关于杂质ICH指南Q3C中,DMSO被归类为“ 3类”溶剂。正因为其普遍性,DMSO的爆炸风险仍未得到充分认识。

此前我们报道了DMSO/DMF等溶剂与NaH混合会有爆炸危险,事实上,许多物质均可大大降低DMSO分解的起始温度,还可能通过自催化行为增加分解反应的严重性,并导致失控的情况甚至爆炸。这些化合物包括酸,碱,卤化物,金属,亲电子试剂,氧化剂和还原剂。

1. 纯DMSO的热分解
纯DMSO在室温下稳定,但在高温下会分解。差示扫描量热法(DSC)评估表明,当在氮气氛下进行实验时,纯DMSO在278°C左右检测到分解。同时加速量热法(ARC)表明DMSO的热分解在其沸点189°C附近即可发生。某些物质的存在可以大大降低DMSO分解的起始温度,还可能加剧DMSO的热分解,包括酸,碱,卤化物,金属,亲电试剂,氧化剂和还原剂,并导致失控的情况甚至爆炸。
Brandes和Smith通过GC-HRMS彻底分析了DMSO分解混合物,并报告了DMSO热分解过程中形成的产物的综合摘要。

2. 酸性条件下DMSO的爆潜在爆炸危险
1983年,一个化工厂在制冷系统维修期间将DMSO和p-硝基甲苯磺酸的混合物在60摄氏度的2000L反应器中放置5天。在事件发生的当天,发现即使关闭下游自动阀上的控制器,手动蒸汽阀仍处于部分打开状态。反应器温度显示为160℃,并且以3°C/5分钟的速度持续升高,黑色反应物质逐渐从人孔溢出,最终导致爆炸。该事件将反应容器破碎成碎片,对周围地区造成了严重破坏,财产损失总额超过250万美元。根本原因的调查显示,DMSO和p-硝基甲苯磺酸的组合在> 200°C时剧烈分解。
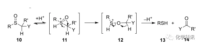
虽然纯DMSO在低温下稳定,但是,酸性物质的存在会导致其在较低的温度下分解,并可能导致DMSO自催化分解,从而导致失控的情况甚至爆炸。酸催化裂解亚砜的建议机理如下:

DMSO /酸混合物的热分解和爆炸能量数据显示,几乎在所有情况下,酸的存在都会降低DMSO分解的起始温度,并增加总能量释放。

3.碱性条件下DMSO的潜在爆炸危险
强碱(如NaH或叔丁醇钾(KOt-Bu)可将DMSO转化为有效的甲基化剂二甲基离子。1966年,锡安山医院和医学中心的癌症化学治疗研究部发生了剧烈爆炸,当时科学家们在70°C的条件下用NaH处理DMSO制备二甲基离子进行杂芳烃的甲基化。在该实验过程中,研究人员在3小时内分5批将4.5 mol NaH添加到18.4 mol DMSO中。在机械搅拌下将反应混合物保持在70℃。1小时后,观察到温度略有升高并出现绿色固体沉淀。然而,当研究人员试图冷却反应混合物时温度迅速升高,几秒钟后发生爆炸,释放出有毒气体和水溶性,粘稠且类似聚合物的物质。
1992年,报道了另一起使用DMSO和钠金属制备二甲基离子溶液的过程中发生的爆炸,造成两人死亡和两人受伤。爆炸完全摧毁了实验室,爆炸原因是14 L的DMSO在15-20分钟内溶解了大量钠金属,正常情况下,钠需要2-3小时的溶解时间,并有温和的放热。

4.卤化物存在下DMSO的潜在爆炸危险
卤化物的存在会降低DMSO分解的起始温度,比如烷基溴化物、 KBr、NaBr、KF、FeCl 3、六氯环三磷嗪,Br2/HBr,氟代硫酸铯(CsSO4F),对称二氯双(2,4,6-三氯苯基)脲,卤代甲基酮等均有报道与DMSO接触会引起潜在的安全隐患。1973年,Scaros和Serauskas报道了制备三甲基硫代溴铵(37)时发生的爆炸,在2 L玻璃纤维涂层的容器中,600 g的甲基溴与880 g的DMSO在66°C下反应90-130 h。该反应已经成功地进行了10次。但是,混合物在120小时后爆炸。幸运的是,由于该反应是在偏远地区进行的,因此没有造成严重的损坏或人身伤害。


6.亲电试剂存在下DMSO的潜在爆炸危险
亲电物质可活化DMSO以进行多种氧化转化。DMSO与亲电试剂剧烈反应,如氰尿酰氯,乙酰氯,苯甲酰氯,苯磺酰氯,亚硫酰氯,磷酰氯和三氯化磷。
例如,利用草酰氯(51)活化DMSO,将醇氧化为羰基化合物。研究人员观察到51在室温下与DMSO发生爆炸性反应,并评论说,合成应用中必需的中间体52的制备和使用应在低温下进行。另外,活化的中间体52分解以提供53,同时损失二氧化碳(CO 2)和一氧化碳(CO),如果不适当地排气,则会在反应容器中引起压力升高。还值得指出的是,在该反应过程中形成的氯离子还可以催化DMSO的热分解,从而有可能导致反应失控甚至爆。


8.还原剂存在下DMSO的潜在爆炸危险
DMSO可被某些还原剂还原为二甲基硫醚。当使用强还原剂时,该反应可能会剧烈放热,如果放热速率超过排热速率,则存在潜在的安全隐患。反应中使用的还原剂和催化剂以及还原反应过程中形成的副产物可能会降低DMSO分解的起始温度和/或增加严重性,从而导致失控的情况甚至爆炸。对DMSO,水和还原剂硼氢化钠(NaBH4)的混合物进行的ARC分析表明,由于NaBH4或其分解副产物硼酸钠(NaBO2)的存在,DMSO热分解的起始温度大大降低。

